Neurology: AI语音分析破解痴呆症诊断难题, 精准区分额颞叶痴呆亚型
时间:2025-04-14 12:10:55 热度:37.1℃ 作者:网络
在神经退行性疾病的诊断迷宫中,额颞叶痴呆(FTD)因其复杂的临床表现一直让医生们倍感棘手。这种仅次于阿尔茨海默病的常见早发性痴呆,主要包括以额叶萎缩为主的行为变异型(bvFTD)和以右侧前颞叶(rATL)萎缩为主的语义行为变异型(sbvFTD)。尽管这两种亚型在症状上有所重叠——都可能表现为性格改变、语言障碍或社交能力下降,但其背后的病理机制却大相径庭。最新发表在《神经病学》杂志的研究带来突破性进展:通过人工智能分析患者语音特征,不仅能准确区分这两种亚型,还揭示了语言障碍与特定脑区萎缩的精确对应关系,为早期诊断提供了革命性的新工具。

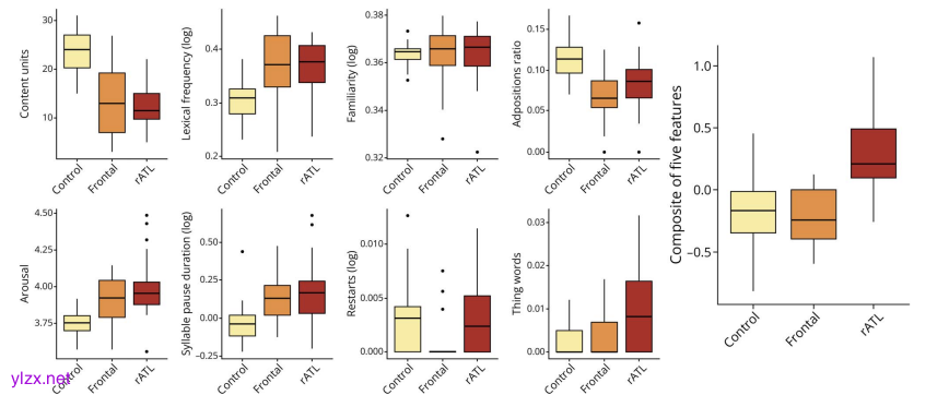
研究团队从加州大学旧金山分校记忆与衰老中心获取了62名参与者的数据,其中包括16名额叶萎缩型FTD患者、24名前颞叶萎缩型FTD患者和22名健康对照者。科学家们采用了一种精妙的实验设计:让所有参与者完成标准化的图片描述任务,同时记录他们的语音数据。通过对这些音频样本的自动化分析,系统提取了16项语言学和声学特征,包括词汇频率、语句停顿时长、语义单元数量等微观指标。令人惊叹的是,当这些数据通过逐步逻辑回归和受试者工作特征曲线(ROC)分析时,机器学习模型仅用3个特征(内容单元数、词汇熟悉度和词频)就能以97.3%的准确率区分FTD患者与健康人;而要进一步区分额叶或颞叶萎缩的亚型,5个关键特征(介词占比、情绪唤醒度、音节停顿时长、语句重启次数及"thing"类词汇使用频率)的组合更是达到了94.3%的判别准确率,这个数字甚至超过了部分传统神经心理学量表的诊断效能。
更值得关注的是,当研究者将这些语音特征与基于体素的形态测量学(VBM)脑影像结果对照时,发现了令人振奋的"脑-语言"对应规律。语义相关特征(如低频词使用增多)与双侧颞下回结构的萎缩程度显著相关;而语法和流畅性特征(如介词比例下降、语句停顿异常)则映射到双侧额下回的灰质减少;特别有趣的是,反映情感淡漠的语音唤醒度降低,与右侧脑岛及前颞叶结构的退化直接挂钩。这些发现不仅验证了不同脑区对语言功能的分工机制,更首次在活体患者中证实:看似细微的语音变化,实则是特定脑区神经元丢失的"声音指纹"。

这项技术的临床价值不言而喻。当前FTD诊断仍高度依赖昂贵的PET扫描或脑脊液检测,而语音分析只需一台录音设备即可完成,在医疗资源匮乏地区尤其具有应用前景。研究者开发的5特征组合模型,能敏锐捕捉到前颞叶萎缩患者特有的语言模式——他们更频繁使用"thing"等抽象词汇(语义具体性下降),语句中介词占比异常(语法网络受损),这些变化甚至在认知测试显现异常前就可能出现。这意味着未来我们或许能通过智能手机APP定期采集患者语音,实现疾病的超早期预警和疗效监测,就像为大脑安装了一个"语音警报器"。
原始出处:
Vonk JMJ, et al. Automated Speech Analysis to Differentiate Frontal and Right Anterior Temporal Lobe Atrophy in Frontotemporal Dementia. Neurology. 2025 May 13;104(9):e213556. doi: 10.1212/WNL.0000000000213556.

