Stroke: 每天多吃一口膳食纤维,中风风险降三成
时间:2025-05-08 12:12:38 热度:37.1℃ 作者:网络
一碗燕麦、一个苹果,可能就是预防中风的最佳"天然药物"。一项覆盖全美1453名中风患者、历时20年的重磅研究发现:膳食纤维摄入量与中风风险呈现稳定的负相关关系,高纤维饮食不仅能降低中风发生概率,还能显著提升中风幸存者的生存率。更令人振奋的是,通过先进的孟德尔随机化分析,科学家首次从基因层面证实:增加膳食纤维摄入可以直接降低小血管中风的风险,这一发现为膳食纤维的保健作用提供了坚实的科学依据。

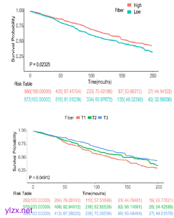
研究数据揭示了一个清晰的"剂量-效应"关系:在完全调整各种干扰因素后,膳食纤维摄入量每增加一定量,中风风险就降低2%(OR=0.98)。如果将人群按纤维摄入量分为三组,摄入量最高组(T3)比最低组(T1)的中风风险直降29%(OR=0.71)。这种保护作用呈现稳定的线性趋势,没有明显的"天花板效应"——也就是说,在合理范围内,吃得越多,保护越强。研究人员特别指出,这种保护作用在不同年龄、性别和基础疾病人群中均保持一致,说明膳食纤维的益处具有普遍性。
对于已经发生过中风的患者,高纤维饮食同样展现出惊人的保护效果。数据显示,高纤维摄入组的中风患者全因死亡率比低摄入组降低32%(HR=0.68)。通过生存分析曲线可以清晰看到,坚持高纤维饮食的中风患者,其生存时间明显延长(P=0.02325)。专家解释,这可能与膳食纤维改善肠道菌群、降低系统性炎症、调节血糖血脂等多重机制有关。值得注意的是,研究中采用严格的调查加权统计方法,确保了结果的可信度。
最具有突破性的是基因层面的发现。通过分析大量人群的遗传数据,研究人员确认:那些基因决定更倾向于高纤维饮食的人群,确实具有更低的小血管中风风险(OR=0.83)。这种"基因预测"的方法有效避免了传统观察性研究中难以排除的混杂因素干扰,为膳食纤维与中风的因果关系提供了迄今为止最有力的证据。这也解释了为什么在观察性研究中,膳食纤维的保护作用如此稳定且显著。

这项研究给公众带来了明确的健康建议:每天应该保证25-30克的膳食纤维摄入量,相当于约3份全谷物+2份水果+3份蔬菜。全麦面包、燕麦、豆类、浆果等都是优质来源。对于中风高危人群和康复期患者,可以适当增加到35克。但专家也提醒,增加纤维摄入要循序渐进,同时保证充足饮水,以免引起肠胃不适。记住,预防中风不需要昂贵的保健品,一把坚果、一碗杂粮粥,可能就是最经济有效的"天然处方"。
原始出处:
Lai S, et al. Association Between Dietary Fiber Intake and Stroke Among US Adults: From NHANES and Mendelian Randomization Analysis. Stroke. 2025 Apr 29. doi: 10.1161/STROKEAHA.124.049093.

