JAMA·眼科学丨注意!重复低强度红光治疗儿童近视的潜在视网膜损伤风险
时间:2025-04-30 12:10:12 热度:37.1℃ 作者:网络
重复低强度红光(RLRL)是采用低强度红光对双眼进行非接触性反复照射的治疗方法,曾广泛用于儿童弱视的治疗,近年来因其可能延缓儿童近视进展而备受关注,但该方法对视网膜的长期安全性尚不明确。JAMA Ophthalmology最新在线提前发表的一项研究[1]提醒医生,长期使用RLRL有导致视锥细胞密度下降及视网膜轻微异常的风险。以下是研究的核心内容:
研究背景和目的
国家疾控局监测数据显示:2022年我国儿童青少年总体近视率为51.9%(其中,小学36.7%,初中71.4%,高中81.2%),其中高度近视(>-6.00D)比例近10%[2]。到2050年,全球近视患病率预计将达到49.8%。
近视传统防控手段(如阿托品滴眼液、角膜塑形镜)效果有限,RLRL疗法因初步疗效显著成为潜在选择。该疗法使用的红光波长为650±10 nm,符合国际激光使用安全标准。但持续照射可能引发光热效应,从而导致视网膜损伤。临床上已有RLRL治疗相关视网膜损伤的个案报道。这项研究评估了长期使用RLRL治疗对视网膜视锥细胞密度的影响。
研究设计与方法
-
设计:多中心回顾性队列研究;对影像评估者设盲。
-
对象:99名5-16岁中国儿童(等效球镜度数<-6.00 D,最佳矫正视力≥20/20),分为RLRL组(治疗≥1年;52名,97只患眼)与对照组(47名,74只患眼)。
-
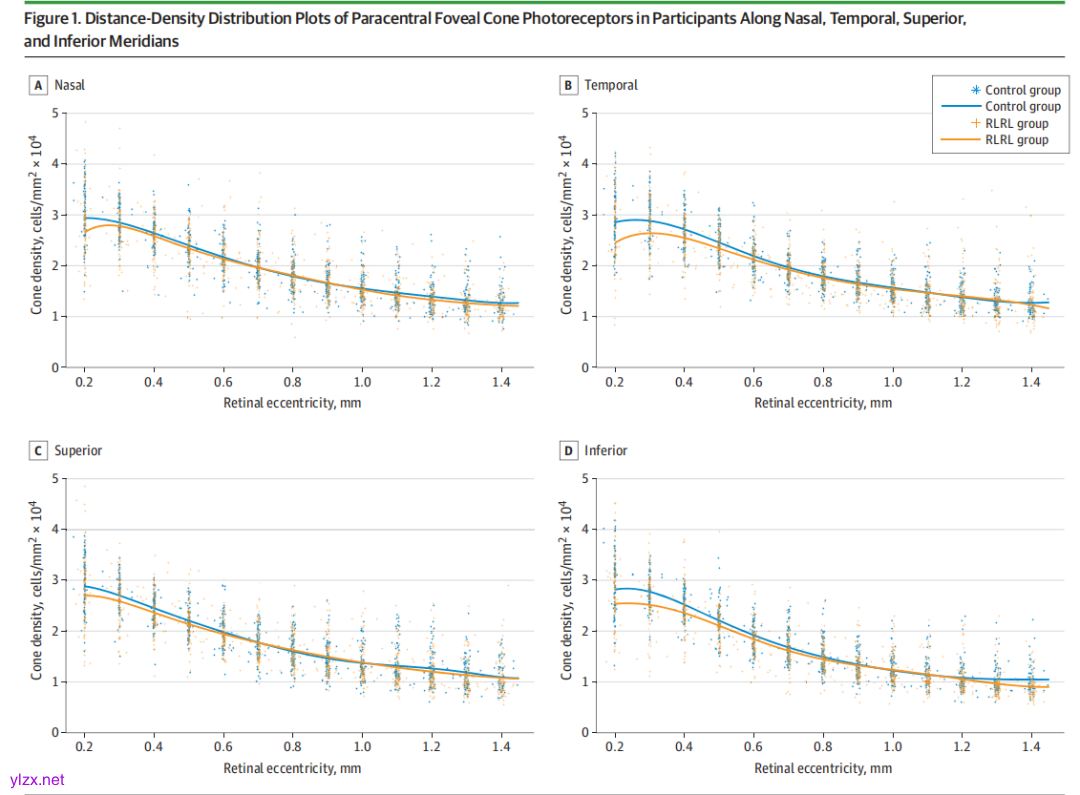
评估参数:通过高分辨率自适应激光扫描检眼镜(AOSLO)视网膜成像,评估视网膜视锥细胞密度;结合光学相干断层扫描(OCT)和眼底照相评估视网膜结构。
关键发现
接受RLRL治疗的儿童视锥细胞密度降低
RLRL组儿童黄斑中央凹周围0.5 mm范围内(尤其是颞侧)的视锥细胞密度降低,中央凹颞侧0.3 mm处出现视锥细胞密度显著降低,与对照组相比平均减少2100个细胞/mm2,P=0.003)。不同暴露组(<270 J、270-430 J、>430 J)间的视锥细胞密度无显著差异。

接受RLRL治疗的儿童出现视网膜异常的风险增加
10名儿童共11只患眼(其中RLRL长期治疗者7只,RLRL短期治疗者3只,对照组1只)在中心凹附近出现了异常的低频、高亮度信号(类似早期玻璃膜疣),RLRL长期治疗组出现视网膜异常的风险是对照组的7.23倍(P=0.02)。
另外,RLRL治疗组有1名患儿出现了神经节细胞层微小囊腔样病变,不过在停用RLRL治疗3个月后消失。
其他
7名接受RLRL治疗的儿童报告在治疗期间有主观症状。
局限性
研究为回顾性设计,并不能确定RLRL疗法与上述视网膜异常发现之间的因果关系。而且,研究并未进行功能方面的评估(如色觉、微视野等)。另外,还要考虑设备参数和个体敏感性差异等偏差对结果的影响。
结论和临床启示
这项研究的结果表明,在近视患儿中,低强度红光治疗至少1年与中心凹视锥细胞密度下降和其他轻微的视网膜异常有关。
作者认为,这些发现支持了对RLRL治疗的长期安全性开展进一步研究评估的必要性,并建议纳入AOSLO,作为疗效和安全性评估的补充手段。
资料来源:
1. Liao X, Yu J, Fan Y, et al. Cone Density Changes After Repeated Low-Level Red Light Treatment in Children With Myopia. JAMA Ophthalmol. Published online April 24, 2025. doi:10.1001/jamaophthalmol.2025.0835
2. 国家疾病预防控制局. 国家疾控局积极推进儿童青少年近视防控 近视率呈下降趋势.
https://www.ndcpa.gov.cn/jbkzzx/c100008/common/content/content_1764617954927783936.html

