Hypertension:非酒精性脂肪性肝病如何加剧高血压患者的心血管风险?
时间:2025-04-25 12:08:36 热度:37.1℃ 作者:网络
非酒精性脂肪性肝病(NAFLD)被认为是一个重大的公共卫生问题,影响全球25%的成人,并能够引发一系列肝脏相关病变,包括肝纤维化、肝硬化和肝细胞癌。来自流行病学研究的越来越多的证据表明,NAFLD是心血管疾病(CVD)的危险因素,并有助于增加疾病的严重程度,其中包括心肌梗死(MI)和缺血性卒中。此外,心血管疾病是NAFLD患者死亡的第二大原因,仅次于肝硬化。非酒精性脂肪性肝病是高血压的常见合并症。然而,非酒精性脂肪性肝病和相关纤维化对高血压及其对心血管疾病(CVD)的控制和死亡率结果的影响尚不清楚。

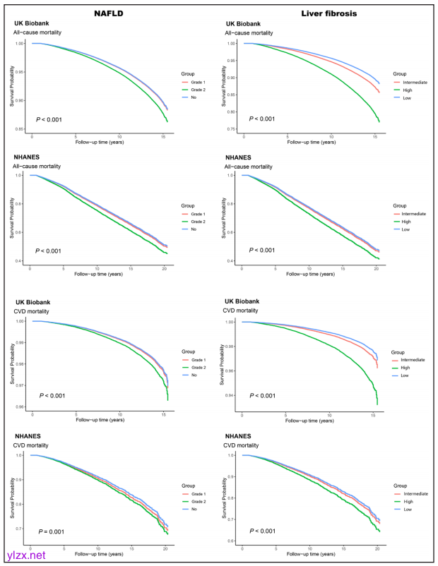
近日,心血管权威杂志Hypertension上发表了一篇研究文章,该研究的受试者分别来自国家健康与营养检查调查(NHANES)和英国生物银行(UKBB)的12907名和120639名高血压患者。孟德尔随机化分析探讨了高血压、非酒精性脂肪性肝病和CVD之间的因果关系。研究人员采取Cox回归估计了与非酒精性脂肪性肝病(由脂肪肝指数定义)和肝纤维化(由纤维化-4指数或非酒精性脂肪性肝病纤维化评分定义)相关的CVD和死亡率的风险比。

NHANES研究记录了3376例死亡,中位随访时间为8.5年,UKBB记录了15864例死亡,4062例缺血性卒中,5314例心肌梗死,中位随访时间为13.5年。心血管疾病和死亡率的风险比随着非酒精性脂肪性肝病的分级而增加(缺血性卒中为1.16 [95%CI为1.01-1.33];UKBB组心肌梗死,1.64 [95%CI为1.44-1.86];NHANES全因死亡率为1.29 [95%CI为1.09-1.54])。高风险纤维化使UKBB 非酒精性脂肪性肝病患者的全因死亡率增加91%,缺血性卒中增加42%,NHANES的全因死亡率增加95%。非酒精性脂肪性肝病在一定程度上介导高血压导致心血管疾病和死亡率的风险(NHANES,占全因死亡率的6.45%;UKBB,全因死亡率5.17%;心肌梗死占8.20%)。
由此可见,非酒精性脂肪性肝病和相关肝纤维化与高血压患者发生心血管疾病和死亡率的高风险相关。非酒精性脂肪性肝病和相关肝纤维化似乎部分介导高血压诱导的心血管疾病和死亡率。
原始出处:
Yanqiu Huang.et al.Impact of NAFLD and Fibrosis on Adverse Cardiovascular Events in Patients With Hypertension.Hypertension.2025.https://www.ahajournals.org/doi/full/10.1161/HYPERTENSIONAHA.124.24252

