Epidemiology and Psychiatric Sciences:严重精神障碍患者的孤独感与社会隔离患病率
时间:2025-04-17 12:10:41 热度:37.1℃ 作者:网络
心理健康问题在全球范围内日益受到关注,而孤独感和社会隔离作为其重要组成部分,在严重精神障碍(SMD)患者中尤为突出。SMD包括精神分裂症、双相情感障碍和重度抑郁症等疾病,这些患者常因症状影响和社会偏见面临社交功能受损。尽管已有研究表明孤独感和社会隔离在普通人群中的危害,但针对SMD患者的系统性研究仍显不足。为此,本研究通过系统综述和Meta分析,首次全面评估了SMD患者中孤独感和社会隔离的患病率及其相关因素,旨在为临床干预和公共卫生政策提供依据。

研究团队遵循PRISMA指南,在PubMed、PsycINFO等五大数据库中检索了截至2024年7月的相关文献,并通过人工补充筛选。纳入标准包括横断面或纵向观察性研究,且需报告SMD患者孤独感或社会隔离的患病率。最终纳入10项研究,覆盖欧洲、亚洲、北美和大洋洲的样本,其中两项为纵向设计,其余为横断面研究。研究样本量多在100至500人之间,参与者平均年龄为30至40岁,女性占比约40%。孤独感的评估工具包括UCLA孤独量表(3项版)和De Jong Gierveld量表,社会隔离则通过Lubben社交网络量表等工具测量。研究采用随机效应模型进行Meta分析,并通过Joanna Briggs Institute工具评估研究质量。

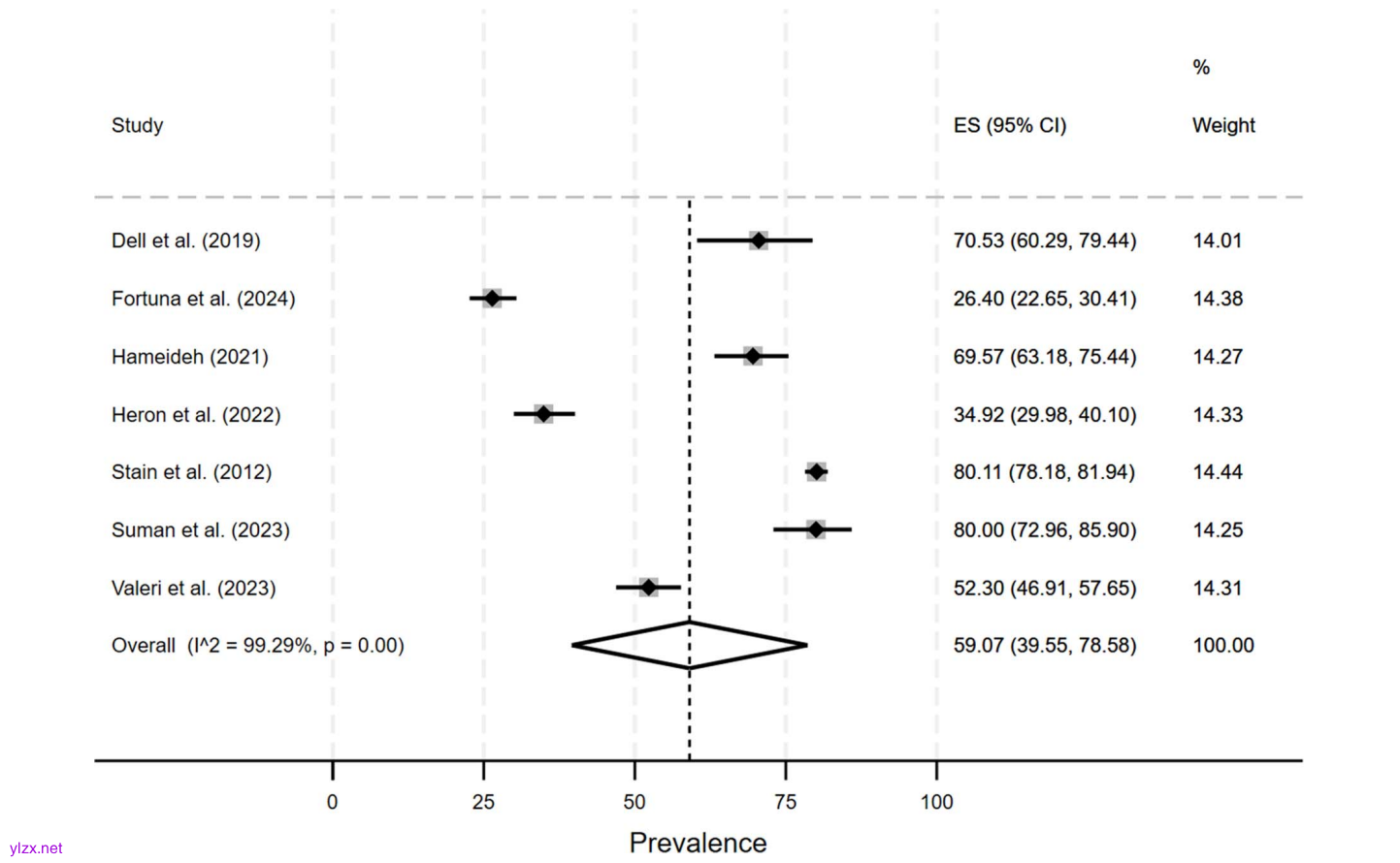
图1:Meta分析(任何诊断的SMD患者孤独感患病率)
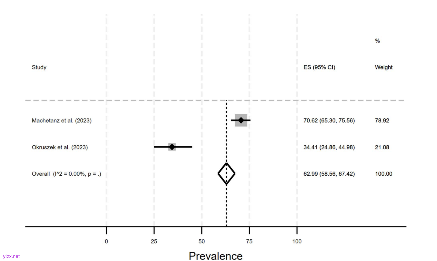
结果显示,SMD患者中孤独感的总体患病率为59.1%(95% CI:39.6%-78.6%),且异质性较高(I²=99.3%)。亚组分析表明,使用单条目工具测得的孤独感患病率(77.0%)高于多条目工具(56.2%)。按诊断分类,双相情感障碍患者的孤独感患病率最高(77.5%),而精神分裂症谱系障碍患者的社会隔离患病率达63.0%(95% CI:58.6%-67.4%)。值得注意的是,亚洲地区的孤独感患病率(74.6%)显著高于北美(49.5%),可能与文化差异和社会支持体系有关。此外,生活质量低下、抑郁症状(如快感缺乏和绝望感)以及独居等因素与孤独感显著相关。然而,由于研究数量有限,社会隔离的前因后果分析仅在一项针对精神分裂症患者的研究中展开,结果显示注意力障碍、阴性症状等与社交隔离相关。

图2:Meta分析(精神分裂症或精神分裂症谱系障碍患者的社会隔离患病率)
研究的局限性包括样本选择偏差(如重度患者可能未被充分代表)和工具异质性(如不同量表截断值的差异)。此外,缺乏来自南美和非洲的研究数据,限制了结论的普适性。尽管如此,本研究首次量化了SMD患者中孤独感和社会隔离的高患病率,为其心理健康干预提供了重要依据。未来研究需扩大地理范围,区分不同SMD诊断亚型,并采用纵向设计探索孤独感的长期影响及干预措施的效果。
原始出处:
Hajek, A., Gyasi, R. M., Pengpid, S., Peltzer, K., Kostev, K., Soysal, P., Smith, L., Jacob, L., Veronese, N., & König, H.-H. (2025). Prevalence of loneliness and social isolation amongst individuals with severe mental disorders: a systematic review and meta-analysis. Epidemiology and Psychiatric Sciences, 34, e25. https://doi.org/10.1017/S2045796025000228

