年纪越大,肉毒毒素打到后面,剂量会越用越少吗?
时间:2025-04-14 12:12:42 热度:37.1℃ 作者:网络
Hey guys,临床工作中,不知道大家有没有遇见过这样的困惑。如果你面对的是一个50+的初脸的求美者,ta要求用肉毒毒素除皱的,你看着ta满脸的褶子,除了感叹岁月残酷之外,你会不会考量等下要给这位求美者打多少剂量?面对深一点的严重一点的皱纹,是不是要适当加大剂量?
换一种情况,
如果你遇见了的求美者在你这里规律注射肉毒毒素很多年了,ta本来看起来就比同龄人年轻,你看ta肉毒毒素注射的效果也保持得很好,你会不会适当地间少一些注射的剂量?
这些细节其实我们平时工作经常会遇见,但就是没有人思考和总结过,肉毒毒素注射剂量与年龄的关系。
最近,来自巴西的Bravo私人诊所医生Bruna Souza Felix Bravo等,发表了一项关于肉毒毒素注射剂量与年龄相关性的研究,咱们今天就一起来看看他们的研究成果吧~~~学完了这一课,或许对以后我们如何根据年龄选择合适的肉毒毒素注射剂量有帮助。
其实说明书里有很多内容值得咱们学习,几乎每一个商用的肉毒毒素品牌说明书里,都会明确一点——肉毒毒素的注射剂量可能因治疗区域和肌肉收缩程度而异。
根据艾尔建2019年发布的国际美容共识推荐肉毒毒素注射上面部(眉间纹,额纹及鱼尾纹)的剂量为27U-86U。这个剂量范围差异还是很大的,那么今天咱们就来看看,年龄这个变量,对剂量的影响有多大。
研究方法
这是一个回顾性单中心研究,共入组389名27-74岁女性患者,患者均接受上面部(眉间纹,额纹及鱼尾纹)肉毒毒素注射,都统一使用了相同品牌和相同的复溶浓度。患者平均年龄47.49岁,50%患者介于38-58岁。医生对求美者的不同注射部位的注射平均剂量,变异系数(CV),四分位数进行了分析,分析结果可见下表。

不难发现,眉间复合体是肉毒毒素注射剂量最高的部位,而额纹的注射剂量变异程度最大。
研究结果
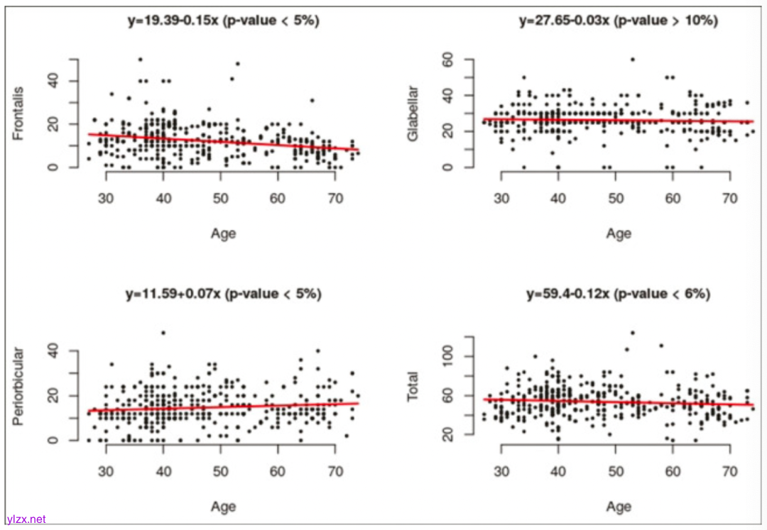
总剂量及年龄的相关性可见下图,总的来说,总注射剂量与年龄呈负相关,随着年龄增加1岁,注射剂量下降12%(P<0.05)。

分部位看,则更加有意思:
1 额纹这个部位,年龄越大,注射剂量反而越小。(P<0.05)
每增加1岁,额纹的剂量就要减少15%。关于这个结果,笔者认为可能的原因如下:年轻人的额肌发达,眼轮匝肌可能不发达,而年纪大的人额肌没有那么发达,但是眼轮匝肌是发达的。
2014年,韩国学者Sangho Yun等曾经做过一个研究,他们应用表面肌电图来评估年轻人群(20-30岁)和老年人(50-70岁)的六种眉毛运动中,每一块肌肉的运动动作电位。
结果表明:做表情的时候,老年组的额肌更容易恢复到原位,这提示我们,针对额纹,较低剂量的肉毒毒素可能更适合。
另一方面,笔者认为,如果额纹剂量注射过高,老年人的眼睛本来就有点儿下垂的,眉毛也是,会不会适得老年组眼睛睁不开呢?万一淋巴回流受阻,那么眼睑水肿这种事情也是会发生的啊~~
所以,笔者是同意老年组的额纹,剂量不适合过高的。

2 眉间纹的注射剂量跟年龄无明显统计学意义
在皱眉纹这块,随着年龄增加1岁,注射剂量下降5%。
3 鱼尾纹这个部位,年纪越大,注射剂量越高(P<0.05)
有意思的来了,随着年龄增加1岁,打鱼尾纹的注射剂量上升7%。这说明,在老年组人群中,鱼尾纹往往更严重,年轻人注射鱼尾纹其实应该抱着“预防问题发生”的角度,而老年人要解决皱纹,则须使用更高的剂量。
4 关于补剂量这个问题
临床工作中,大家肯定会遇见有求美者觉得效果不佳,还需要补充注射的,这方面研究者也做了统计,他们的结果是389名求美者中,有41个人(10.5%)进行补充注射,补充注射的平均剂量为10U。
总结以下,
上面部三个部位的皱纹,平均总注射剂量为53.76U,眉间复合体为26.28U,额纹为12.23U,鱼尾纹为14.79U/侧,回归分析见下图。

大家发现了吗,
鱼尾纹的注射剂量比说明书里的12U/侧是高的,皱眉纹的注射jil 比说明书里的20U也是高的,啧啧啧,所以总体来说,额纹注射剂量与年龄负相关,眉间纹和鱼尾纹是正相关。

所以仔细思考一下,
如果下次临床再遇见了年纪大的求美者,记得,额纹剂量少打点儿,鱼尾纹和皱眉纹多打点儿哦~~不过最终这个事情还是要因人而异的,比方说遇见笔者这样的事儿逼,最讨厌的就是大剂量僵硬了~~~
参考文献
Bravo BSF, Carvalho RM, Gallo BF, Bravo LG. A Retrospective Study Supporting the Importance of Individualizing the Dose of Botulinum Toxin According to the Age. J Cutan Aesthet Surg. 2021 Jan-Mar;14(1):88-92. doi: 10.4103/JCAS.JCAS_20_20. PMID: 34084014; PMCID: PMC8149977.
Yun S, Son D, Yeo H, Kim S, Kim J, Han K, Lee S, Lee J. Changes of eyebrow muscle activity with aging: functional analysis revealed by electromyography. Plast Reconstr Surg. 2014 Apr;133(4):455e-463e. doi: 10.1097/PRS.0000000000000052. PMID: 24378349.

