European Radiology:数字乳腺钼靶与基于人工智能的计算机辅助诊断预测HER2阳性和三阴性乳腺癌患者新辅助化疗反应的评估
时间:2025-04-13 12:08:32 热度:37.1℃ 作者:网络
新辅助化疗(NAC)是局部晚期乳腺癌和炎性乳腺癌的标准治疗方法,其目的是缩小肿瘤,使原本无法手术或需要进行乳房切除术的患者能够接受保乳手术。此外,它还能降低腋窝淋巴结的分期,使患者避免进行腋窝淋巴结清扫术。在新辅助化疗后达到病理完全缓解(pCR)至关重要,因为病理完全缓解与生存率的提高相关,尤其是在人表皮生长因子受体 2(HER2)阳性和三阴性(TN)乳腺癌中。对新辅助化疗的反应会因分子亚型的不同而有所差异,在侵袭性更强的 HER2 阳性和三阴性乳腺癌中,病理完全缓解率更高。雌激素受体(ER)阴性、较低的 T 分期、较高的组织学分级以及升高的 Ki-67 增殖指数也与较高的病理完全缓解率相关。
新辅助化疗的反应在术前通过临床检查和影像学检查进行评估。与数字乳腺钼靶摄影(DM)和超声(US)相比,磁共振成像(MRI)在评估肿瘤反应和残留肿瘤方面具有更高的准确性。然而,有报告显示,6% 至 19% 的病例通过 MRI 评估会被高估,而 7% 至 28% 的病例会被低估。高估残留病灶可能会导致更广泛的手术:采用乳房切除术而非保乳手术,采用腋窝淋巴结清扫术而非前哨淋巴结活检术。相反,遗漏残留病灶可能会导致手术切缘阳性和再次手术切除。因此,人们迫切需要能够准确预测病理完全缓解的影像学方法,以便为接受新辅助化疗的患者量身定制治疗方案。
基于人工智能的计算机辅助诊断(AI-CAD)是一种有可能提高诊断准确性并减轻放射科工作负担的手段,目前市面上已有多种用于数字乳腺钼靶摄影的 AI-CAD 系统。这些系统会标记出数字乳腺钼靶摄影上的异常发现,并提供代表癌症可疑程度的异常评分。最近的研究表明,商用 AI-CAD 可以在数字乳腺钼靶摄影筛查中辅助放射科医生,甚至有可能取代他们。此外,人们还努力开发人工智能模型,以预测乳腺癌的未来发病风险,或识别出在乳腺钼靶摄影筛查结果为阴性后可能受益于补充影像学检查的患者。这些情况表明,AI-CAD 将在数字乳腺钼靶摄影的解读中发挥重要作用。然而,目前尚不清楚应用于数字乳腺钼靶摄影的 AI-CAD 是否能够预测乳腺癌患者对新辅助化疗的治疗反应。

最近,发表在European Radiology 上的一篇文章探究了在人表皮生长因子受体 2(HER2)阳性和三阴性(TN)乳腺癌中,采用基于人工智能的计算机辅助诊断(AI-CAD)的数字乳腺钼靶摄影(DM)能否预测新辅助化疗(NAC)后的病理完全缓解(pCR)情况,并将其性能与动态对比增强(DCE)- 磁共振成像(MRI)进行了比较。
在这项单中心研究中,回顾性选取了 2020 年 9 月至 2021 年 8 月期间因 HER2 阳性或三阴性乳腺癌接受新辅助化疗和手术的患者,以构建新辅助化疗后病理完全缓解的预测模型。从一项前瞻性的 ASLAN(新辅助化疗后避免前哨淋巴结活检)试验中,前瞻性选取了 2021 年 12 月至 2022 年 7 月期间接受新辅助化疗和手术的 HER2 阳性和三阴性乳腺癌患者,用于模型验证。获取了新辅助化疗前后的临床病理数据以及数字乳腺钼靶摄影和磁共振成像扫描结果。通过逻辑回归分析确定与病理完全缓解相关的因素,以构建模型,并对四个模型(临床病理模型、磁共振成像模型、数字乳腺钼靶摄影 - AI-CAD 模型以及联合模型)进行评估。
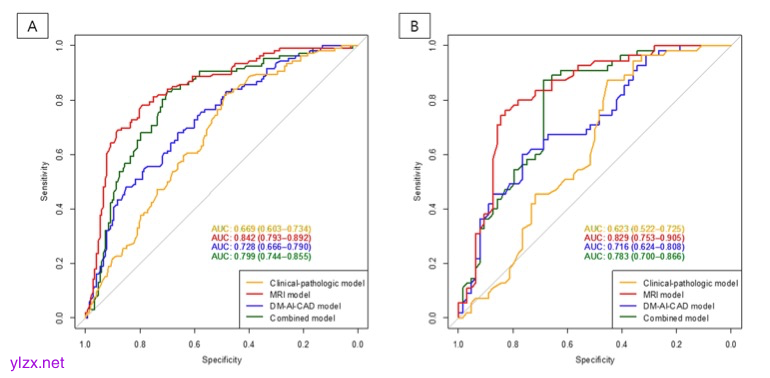
共有 259 名女性(平均年龄 53 岁 ±10.5 [标准差])构成了建模队列,119 名女性(平均年龄 50.8 岁 ±11.1)构成了验证队列。年龄、临床 N 分期、雌激素受体、孕激素受体和 Ki-67 被纳入临床病理模型。在验证队列中,数字乳腺钼靶摄影 - AI-CAD 模型将新辅助化疗后的数字乳腺钼靶摄影中 AI-CAD 评分≤16 作为影像学完全缓解的标准,其受试者工作特征曲线下面积(AUC)在预测病理完全缓解方面高于临床病理模型(0.72 对比 0.62;P = 0.01)。然而,磁共振成像模型的 AUC 最高(0.83),其次是联合模型(0.78)。

图 开发队列和验证队列中预测模型的受试者工作特征曲线。A 开发队列;B 验证队列。
本项研究表明,在 HER2 阳性和三阴性乳腺癌中,采用新辅助化疗后 AI-CAD 评分≤16 的数字乳腺钼靶摄影构建的模型,在预测病理完全缓解方面比临床病理模型更准确,但不如磁共振成像模型。
原文出处:
Haejung Kim,Ji Soo Choi,Sang Ah Chi,et al.Digital mammography with AI-based computer-aided diagnosis to predict neoadjuvant chemotherapy response in HER2-positive and triple-negative breast cancer patients: comparison with MRI.DOI:10.1007/s00330-025-11390-x

