【BCJ】揭示一千例≥60岁新诊断AML的分子特征
时间:2025-04-11 12:11:14 热度:37.1℃ 作者:网络
老年AML
急性髓系白血病(AML)是一种主要发生在老年人中的血液系统恶性肿瘤,中位诊断年龄为69岁,约60%的患者年龄为≥60岁。AML起源于造血干细胞和祖细胞的体细胞基因组改变,导致未分化的幼稚前体细胞克隆性增殖,阻碍正常造血功能。二代测序(NGS)技术识别了AML中常见的结构染色体异常和驱动基因突变,超过95%的AML患者携带至少一个可识别的体细胞突变,其中一些突变具有预后意义。
对于老年患者,靶向基因突变的治疗很有意义,因为它们的耐受性相对较好,副作用较少。虽然老年AML患者的基因组图谱已被证明与年轻患者不同,但大多数研究规模相对较小,或未包括接受低强度治疗的患者。因此学者对1000多例老年ND AML患者的细胞遗传学和突变数据进行了更新和更全面的分析,旨在表征年龄≥60岁的AML患者中存在的基因组异常的发生率和共发生情况。近日发表于《Blood Cancer Journal》。

研究结果
患者:该研究是一项多中心、回顾性研究,纳入Beat AML研究中年龄≥60岁、新诊断的AML患者共1023例,中位诊断年龄为72岁。70%的患者接受低强度治疗方案。

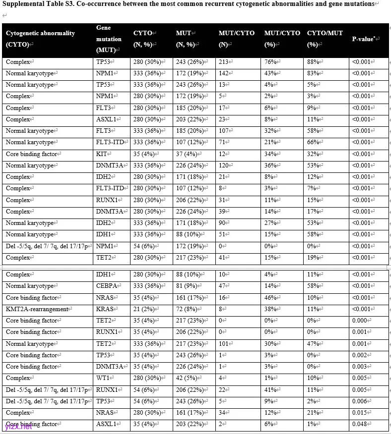
细胞遗传学异常:926例患者(91%)有细胞遗传学分析结果。36%的患者为正常核型,30%携带复杂核型。44%的患者有携带骨髓增生异常综合征(MDS)相关细胞遗传学异常。
基因突变:最常见的10个突变基因包括IDH1/2(28%)、DNMT3A(25.3%)、TP53(25%)、TET2(23.6%)、RUNX1(22.2%)、SRSF2(21.7%)、ASXL1(21%)、FLT3(21%)、NPM1(20.2%)和NRAS(17.1%)。

变异等位基因频率(VAF):FLT3和NRAS的VAF最低,表明这些信号通路的改变通常在白血病克隆进化的后期获得。TP53的VAF在患者间差异较大(范围0.01-0.99)。

基因突变共现性:NPM1与DNMT3A和FLT3-ITD的共现性显著(p<0.001)。FLT3-ITD改变也常与DNMT3A共现(p<0.001)。TP53突变与其他基因突变不显著共现,但与多个常见突变基因呈互斥关系。核心结合因子(CBF)AML与ASXL1、DNMT3A、RUNX1、TET2和TP53呈互斥关系,而与KIT和NRAS常共现。正常核型AML中,DNMT3A、FLT3-ITD、NPM1、IDH1/2和TET2的突变频率高于复杂核型AML;而TP53在复杂核型AML中的突变频率为76%,远高于正常核型AML的4%(p<0.001)。


总结
老年AML的分子异质性:老年AML患者的基因组特征与年轻患者不同,具有更高的TP53和MDS相关基因突变频率,以及细胞遗传学异常,可能影响预后。
治疗靶点:48%的老年AML患者存在潜在可靶向治疗的突变(如FLT3、IDH1、IDH2、NPM1、KMT2A重排),强调了靶向老年AML患者基因组改变的靶向治疗选择的潜力。
参考文献
Hoff, F.W., Huang, Y., Welkie, R.L. et al. Molecular characterization of newly diagnosed acute myeloid leukemia patients aged 60 years or older: a report from the Beat AML clinical trial. Blood Cancer J. 15, 55 (2025). https://doi.org/10.1038/s41408-025-01258-0

